Tetrakis(acetonitril)kupfer(I)-perchlorat ist ein Kupferkomplex mit Acetonitril und einem Perchlorat-Anion als Gegenion. Entsprechend läßt sich die chemische Verbindung durch die Reaktion von Kupfer(I)-oxid mit Perchlorsäure in Acetonitril synthetisieren.
Bezeichnungen und Identifikatoren
Tetrakis(acetonitril)kupfer(I)-perchlorat
C8H12ClCuN4O4
[Cu(CH3CN)4][ClO4]
327,204 (g/mol)
14057-91-1
FXYIJMLSVDZYOJ-UHFFFAOYSA-M
Weitere Bezeichnungen, Synonyme
Kupfer(I)-acetonitrilperchlorat
Englische Bezeichnung
Tetrakis(acetonitrile)copper(I) perchlorate
Copper(I) acetonitrile perchlorate
Chemische Formeln
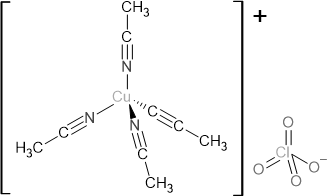
Brutto- bzw. Summenformel und Strukturformel der chemischen Verbindung Tetrakis(acetonitril)kupfer(I)-perchlorat:
kupfer(i)-perchlorat.png)
C8H12ClCuN4O4 oder [Cu(CH3CN)4][ClO4]
Mr = 327,204 g/mol
SMILES: CC#N.CC#N.CC#N.CC#N.[O-]Cl(=O)(=O)=O.[Cu+]
Daten und Eigenschaften
Übersicht über die (bekannten) chemischen und physikalischen Eigenschaften: Tetrakis(acetonitril)kupfer(I)-perchlorat. Es gelten - soweit nicht anders angegeben - Raumumgebungsbedingungen (Normaldruck, 0 % Luftfeuchtigkeit, 20 °C).
Reines Tetrakis(acetonitril)kupfer(I)-perchlorat liegt als weißer, kristalliner Feststoff vor, der sich durch Luftfeuchtigkeit langsam zersetzt.
165 °C
Spektroskopische Daten:
Berechnetes NMR-Spektrum (Predict Spectra via NMRDB)
1H NMR Spektrum, 13C NMR Spektrum.
Prozentuale und isotopische Zusammensetzung:
Massenbezogene elementare Zusammensetzung und Isotopen-Anteile der Verbindung Tetrakis(acetonitril)kupfer(I)-perchlorat - C8H12ClCuN4O4 - berechnet auf Grundlage der Molekülmasse.
.Element E
der Atome Ex
und der Isotope *
der Isotope
Ex an Formelmasse
Kohlenstoff
ΣAr = 96,088 u
12C: 12 u [98,94 %]
13C: 13,00335 u [1,06 %]
14C: 14,00324 u [<< 1 %]
12C: 29,05511 %
13C: 0,31128 %
14C: Spuren
Wasserstoff
ΣAr = 12,096 u
1H: 1,00783 u [99,99 %]
2H: 2,0141 u [0,01 %]
3H: 3,01605 u [<< 1 %]
1H: 3,69641 %
2H: 0,00037 %
3H: Spuren
Chlor
35Cl: 34,96885 u [75,80 %]
36Cl: 35,96831 u [<< 1 %]
37Cl: 36,9659 u [24,2 %]
35Cl: 8,21234 %
36Cl: Spuren
37Cl: 2,62188 %
Kupfer
63Cu: 62,9296 u [69,15 %]
65Cu: 64,92779 u [30,85 %]
63Cu: 13,42956 %
65Cu: 5,99135 %
Stickstoff
ΣAr = 56,028 u
14N: 14,00307 u [99,6205 %]
15N: 15,00011 u [0,3795 %]
14N: 17,05828 %
15N: 0,06498 %
Sauerstoff
ΣAr = 63,996 u
16O: 15,99491 u [99,757 %]
17O: 16,99913 u [0,03835 %]
18O: 17,99916 u [0,205 %]
16O: 19,51091 %
17O: 0,0075 %
18O: 0,04009 %
*) Die dritte Spalte führt die Atommassen bzw. Isotopenmassen der beteligten Elemente sowie - in eckigen Klammern - die natürliche Isotopenzusammensetzung auf.
Weitere berechnete Daten
Die molare Masse ist M = 327,204 Gramm pro Mol.
Die Stoffmenge von einem Kilogramm der Substanz ist n = 3,056 mol.
Die Stoffmenge von einem Gramm der Substanz ist n = 0,003 mol.
Monoisotopische Masse: 325,9843046694 Da - bezogen auf 12C81H1235Cl63Cu14N416O4.
Externe Informationsquellen
Hersteller und Bezugsquellen
In der nachfolgenden Tabelle sind Produzenten und Lieferanten von Tetrakis(acetonitril)kupfer(I)-perchlorat als kommerzielle Chemikalie für Labor, Forschung, Industrie und Produktion mit den entsprechenden Kontaktdaten verzeichnet.
Literatur und Quellen
[1] - Ilya S. Kritchenkov et al.:
Efficient one-pot green synthesis of tetrakis(acetonitrile)copper(I) complex in aqueous media.
In: RSC Advances, 9, (2019), DOI 10.1039/C8RA10564B.
Letzte Änderung am 17.01.2026.
Permalink: https://www.internetchemie.info/substanz/Tetrakis(acetonitril)kupfer(I)-perchlorat.php
© 1996 - 2026 Internetchemie ChemLin